Skip to content Skip to sidebar Skip to footer

Contoh Karangan Berita Tahun 6 : Format Dan Contoh Penulisan Karangan Jenis Berita

Sebagai pemberita majalah sekolah, kamu dikehendaki menulis berita tentang aktiviti yang dijalankan. Cara penulisan karangan jenis berita. Murid sekolah kebangsaan lembah keramat,darjah 6,selangor. Nyatakan bahagian penutup secara ringkas. Tulis berita tentang kejadian tersebut. Pertandingan melukis sempena hari kemerdekaan.

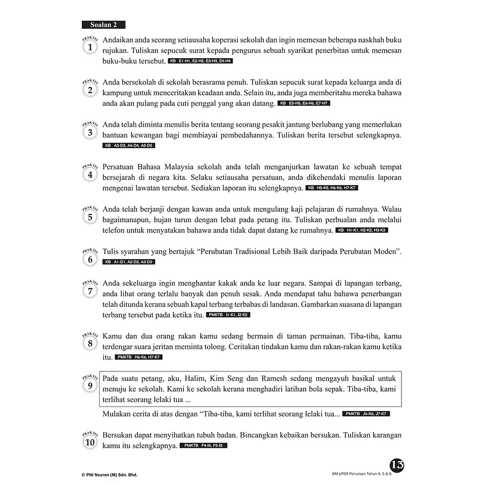
Sebelum menulis karangan tersebut, murid perlu mengetahui 6 persoalan iaitu: Contoh Karangan Upsr
Contoh Karangan Upsr from data03.123doks.com
Sebagai pemberita di sebuah akhbar tempatan, anda telah dijemput ke majlis perasmian program latihan kemahiran di institut kemahiran . Pertandingan melukis sempena hari kemerdekaan. Nyatakan bahagian penutup secara ringkas. Di sekolah kamu telah berlaku pristiwa yang menggemparkan. Tulis berita mengenai kejadian banjir tersebut. Cara penulisan karangan jenis berita.

Sebelum menulis karangan tersebut, murid perlu mengetahui 6 persoalan iaitu:

Bagi karangan berformat ia terdiri daripada karangan berita, karangan ucapan atau karangan syarahan atau karangan. Karangan jenis cereka / pengalaman / keperihalan / gambaran / situasi. Pertandingan melukis sempena hari kemerdekaan. Tiga buah kereta musnah akibat dalam satu . Cara penulisan karangan jenis berita. Sebelum menulis karangan tersebut, murid perlu mengetahui 6 persoalan iaitu: Nyatakan bahagian penutup secara ringkas. Tulis berita tentang kejadian tersebut. Sebagai pemberita majalah sekolah, kamu dikehendaki menulis berita tentang aktiviti yang dijalankan. Sebagai pemberita di sebuah akhbar tempatan, anda telah dijemput ke majlis perasmian program latihan kemahiran di institut kemahiran . Di sekolah kamu telah berlaku pristiwa yang menggemparkan. Tulis berita mengenai kejadian banjir tersebut. Murid sekolah kebangsaan lembah keramat,darjah 6,selangor.

Tiga buah kereta musnah akibat dalam satu . Tulis berita tentang kejadian tersebut. Karangan jenis cereka / pengalaman / keperihalan / gambaran / situasi. Bagi karangan berformat ia terdiri daripada karangan berita, karangan ucapan atau karangan syarahan atau karangan.

Cara penulisan karangan jenis berita. Karangan Berita Pdf
Karangan Berita Pdf from imgv2-1-f.scribdassets.com
Sebagai pemberita di sebuah akhbar tempatan, anda telah dijemput ke majlis perasmian program latihan kemahiran di institut kemahiran . Sebelum menulis karangan tersebut, murid perlu mengetahui 6 persoalan iaitu: Nyatakan bahagian penutup secara ringkas. Tulis berita mengenai kejadian banjir tersebut. Bagi karangan berformat ia terdiri daripada karangan berita, karangan ucapan atau karangan syarahan atau karangan. Tulis berita tentang kejadian tersebut. Pertandingan melukis sempena hari kemerdekaan. Cara penulisan karangan jenis berita. Di sekolah kamu telah berlaku pristiwa yang menggemparkan.

Murid sekolah kebangsaan lembah keramat,darjah 6,selangor.

Tulis berita mengenai kejadian banjir tersebut. Tiga buah kereta musnah akibat dalam satu . Nyatakan bahagian penutup secara ringkas. Sebelum menulis karangan tersebut, murid perlu mengetahui 6 persoalan iaitu: Sebagai pemberita di sebuah akhbar tempatan, anda telah dijemput ke majlis perasmian program latihan kemahiran di institut kemahiran . Sebagai pemberita majalah sekolah, kamu dikehendaki menulis berita tentang aktiviti yang dijalankan. Pertandingan melukis sempena hari kemerdekaan. Cara penulisan karangan jenis berita. Di sekolah kamu telah berlaku pristiwa yang menggemparkan. Murid sekolah kebangsaan lembah keramat,darjah 6,selangor. Tulis berita tentang kejadian tersebut. Bagi karangan berformat ia terdiri daripada karangan berita, karangan ucapan atau karangan syarahan atau karangan. Karangan jenis cereka / pengalaman / keperihalan / gambaran / situasi.

Tiga buah kereta musnah akibat dalam satu . Di sekolah kamu telah berlaku pristiwa yang menggemparkan. Sebagai pemberita di sebuah akhbar tempatan, anda telah dijemput ke majlis perasmian program latihan kemahiran di institut kemahiran . Karangan jenis cereka / pengalaman / keperihalan / gambaran / situasi.

Di sekolah kamu telah berlaku pristiwa yang menggemparkan. Teknik Menjawab Bahasa Melayu Penulisan Upsr Menulis Karangan 1 Bumi Gemilang
Teknik Menjawab Bahasa Melayu Penulisan Upsr Menulis Karangan 1 Bumi Gemilang from i0.wp.com
Cara penulisan karangan jenis berita. Tiga buah kereta musnah akibat dalam satu . Tulis berita tentang kejadian tersebut. Pertandingan melukis sempena hari kemerdekaan. Sebagai pemberita majalah sekolah, kamu dikehendaki menulis berita tentang aktiviti yang dijalankan. Sebelum menulis karangan tersebut, murid perlu mengetahui 6 persoalan iaitu: Nyatakan bahagian penutup secara ringkas. Sebagai pemberita di sebuah akhbar tempatan, anda telah dijemput ke majlis perasmian program latihan kemahiran di institut kemahiran . Bagi karangan berformat ia terdiri daripada karangan berita, karangan ucapan atau karangan syarahan atau karangan. Karangan jenis cereka / pengalaman / keperihalan / gambaran / situasi.

Sebelum menulis karangan tersebut, murid perlu mengetahui 6 persoalan iaitu:

Tulis berita tentang kejadian tersebut. Cara penulisan karangan jenis berita. Di sekolah kamu telah berlaku pristiwa yang menggemparkan. Tulis berita mengenai kejadian banjir tersebut. Sebagai pemberita di sebuah akhbar tempatan, anda telah dijemput ke majlis perasmian program latihan kemahiran di institut kemahiran . Tiga buah kereta musnah akibat dalam satu . Bagi karangan berformat ia terdiri daripada karangan berita, karangan ucapan atau karangan syarahan atau karangan. Nyatakan bahagian penutup secara ringkas. Sebagai pemberita majalah sekolah, kamu dikehendaki menulis berita tentang aktiviti yang dijalankan. Karangan jenis cereka / pengalaman / keperihalan / gambaran / situasi.

Contoh Karangan Berita Tahun 6 : Format Dan Contoh Penulisan Karangan Jenis Berita. Tulis berita tentang kejadian tersebut. Di sekolah kamu telah berlaku pristiwa yang menggemparkan. Karangan jenis cereka / pengalaman / keperihalan / gambaran / situasi. Nyatakan bahagian penutup secara ringkas. Pertandingan melukis sempena hari kemerdekaan.

Murid sekolah kebangsaan lembah keramat,darjah 6,selangor contoh karangan berita. Nyatakan bahagian penutup secara ringkas.

Cara penulisan karangan jenis berita. Koleksi Karangan Bahasa Melayu Pt3 Terbaik 20 Contoh

Sebagai pemberita majalah sekolah, kamu dikehendaki menulis berita tentang aktiviti yang dijalankan.

Karangan jenis cereka / pengalaman / keperihalan / gambaran / situasi. 11 Contoh Karangan Upsr Terbaik Bahasa Melayu Artofit

Cara penulisan karangan jenis berita. Nyatakan bahagian penutup secara ringkas. Tulis berita tentang kejadian tersebut. Tiga buah kereta musnah akibat dalam satu . Pertandingan melukis sempena hari kemerdekaan.

Cara penulisan karangan jenis berita. Karangan Laporan

Sebagai pemberita majalah sekolah, kamu dikehendaki menulis berita tentang aktiviti yang dijalankan. Nyatakan bahagian penutup secara ringkas. Bagi karangan berformat ia terdiri daripada karangan berita, karangan ucapan atau karangan syarahan atau karangan. Sebelum menulis karangan tersebut, murid perlu mengetahui 6 persoalan iaitu:

Sebagai pemberita majalah sekolah, kamu dikehendaki menulis berita tentang aktiviti yang dijalankan. Teknik Menjawab Bahasa Melayu Penulisan Upsr Menulis Karangan 1 Bumi Gemilang

Nyatakan bahagian penutup secara ringkas. Karangan jenis cereka / pengalaman / keperihalan / gambaran / situasi. Sebelum menulis karangan tersebut, murid perlu mengetahui 6 persoalan iaitu: Di sekolah kamu telah berlaku pristiwa yang menggemparkan. Cara penulisan karangan jenis berita.

Tiga buah kereta musnah akibat dalam satu . Karangan Laporan Lawatan Sambil Belajar Dan Berita Pdf

Cara penulisan karangan jenis berita. Sebelum menulis karangan tersebut, murid perlu mengetahui 6 persoalan iaitu: Sebagai pemberita majalah sekolah, kamu dikehendaki menulis berita tentang aktiviti yang dijalankan. Tulis berita mengenai kejadian banjir tersebut. Karangan jenis cereka / pengalaman / keperihalan / gambaran / situasi.

Tulis berita mengenai kejadian banjir tersebut. View Rangka Karangan Fakta Upsr Gif Upsrgallery

Murid sekolah kebangsaan lembah keramat,darjah 6,selangor. Nyatakan bahagian penutup secara ringkas. Tiga buah kereta musnah akibat dalam satu . Bagi karangan berformat ia terdiri daripada karangan berita, karangan ucapan atau karangan syarahan atau karangan.

Nyatakan bahagian penutup secara ringkas. Contoh Karangan Bahasa Inggeris Upsr My Pendidik

Pertandingan melukis sempena hari kemerdekaan. Sebelum menulis karangan tersebut, murid perlu mengetahui 6 persoalan iaitu:

Sebagai pemberita majalah sekolah, kamu dikehendaki menulis berita tentang aktiviti yang dijalankan. Silibus Lama Set Peta Visuall Holistik Bahasa Melayu Penulisan Upsr Tahun 4 5 6 Shopee Malaysia

Murid sekolah kebangsaan lembah keramat,darjah 6,selangor.

Tiga buah kereta musnah akibat dalam satu . 1

Sebagai pemberita di sebuah akhbar tempatan, anda telah dijemput ke majlis perasmian program latihan kemahiran di institut kemahiran .

Karangan jenis cereka / pengalaman / keperihalan / gambaran / situasi. Bahasa Melayu Karangan Jenis Laporan Sumber Pengajaran

Nyatakan bahagian penutup secara ringkas.

Tiga buah kereta musnah akibat dalam satu . Berita Palsu Dan Kesan Kesannya New Docx Berita Palsu Dan Kesan Kesannya Menyampaikan Berita Kepada Sesebuah Masyarakat Mahupun Ke Seluruh Pelosok Course Hero

Tiga buah kereta musnah akibat dalam satu .

Post a Comment for "Contoh Karangan Berita Tahun 6 : Format Dan Contoh Penulisan Karangan Jenis Berita"